White River Info
WHITE RIVER FLOW INFO, DAM GENERATION, FORECASTS, LAKE LEVELS, PREDICTIONS, LINKS
WHITE RIVER FLOW QUICK LINKS
Bull Shoals Tail water GRAPH and TABULAR - (real time from USACE)
Bull Shoals Dam PROJECTIONS - *see Column 13* (updated periodically by SWPA)
NORTH FORK RIVER FLOW QUICK LINKS
Norfork Tail water GRAPH and TABULAR (real time from USACE)
Norfork Dam PROJECTIONS - *see Column 14* (updated periodically by SWPA)
OTHER STREAM GAUGES, POOL FORECAST & WATER QUALITY LINKS
US ACE – Water Management Home Page & RiverGages.com for the White River Basin
White River at Newport (down-river management "choke-point")
US ACE - Lake Levels & Pool Forecast
White River System Lake Report
Dissolved Oxygen & Temperature Reports - Bull Shoals, Norfork, Calico Rock, June 1-Dec 1
US ACE - 1998 Water Control Plan & Newport gauge considerations
How do I interpret all this dam generation information?
You may be thinking, "OK, so I can click on these links, and see all this data... But what does it mean? Why do I need to know any of this information?"
Even though a tailwater system like the White River does not experience the massive fluctuations of an un-dammed river, the levels here still change significantly, often on a daily basis. This is pretty important for wade fishermen, who need to be particularly aware when the water is about to come up. At one extreme, “dead-low” conditions with minimum flow give us around 850 CFS (cubic feet/second), as opposed to all 8 generators at Bull Shoals Dam running at capacity, which is approximately 26,400 CFS.
This corresponds to about an 11 ft. change at our point in the river. Right now, you may be thinking that sounds like a pretty massive fluctuation to you... 8 full generators running at capacity is a lot of water. But, everything is relative. Consider that in 2008 alone, we’ve seen the Buffalo River (un-dammed) fluctuate nearly 3 times that amount on more than one occasion.
Of course, points further down the White River, especially below Crooked Creek & the Buffalo, (11 & 17 miles down river from our resort, respectively) do have more drastic changes, as they receive the cumulative waters from these tributaries, in addition to releases from Bull Shoals Dam, and other feeder creeks. (Since His Place Resort is only 15 miles below the dam, we receive a negligible amount of water from feeder creeks.) The fisherman, therefore, should always be aware of his or her location respective to these confluences, especially when wading, as our central location makes it easy for guests to fish multiple sites.
So, our guests want to know, “What’s the river going to do?” It’s never an easy question to answer. We have certain online data that we use to try and answer that question, but at the end of the day, you might liken it to a weather forecast; it depends where you’re at and what time it is, it’s subject to change, and at best you never know much outside of a few days. However, knowing as much as possible about the water conditions will make your experience on the White River a safer and more enjoyable one!
The most helpful use of these tools is to spot “trends”, which can last anywhere from a few days to several weeks, if we’re lucky. When daily fluctuations begin to more or less repeat themselves, you have fairly good short term predictability. That’s why I recommend that you start watching these patterns a week or two before you visit. If a fairly consistent pattern is present, odds are good that’s what it will be doing while you’re here. To give you a better feel for how these numbers relate to reality, you can compare the images from our Live River Cam to the amount of water that’s currently running. In other words, you can literally see what 10,000 CFS looks like.
The rest of this page is somewhat technical, and honestly will bore a lot of readers! If you would rather we tell you what we think is going to happen, give us a call or send an email and we’ll be happy to fill you in! But, so many of you have expressed a genuine interest in this topic, we felt a page on our website should be dedicated to it.
With that said, I’ve created the quick links above for you to view the same data we look at, and I’ll do my best to explain the significance of each.
Basics of Water Flow in the White
First, let me give you a little explanation on the speed of the water. In a nutshell, more water moves faster. Knowing this will help you calculate fairly accurately when the water will arrive, or when it will have fallen out. These figures are based strictly on my own observations, and these numbers can and DO vary.
These figures should NOT be relied on to predict safe water conditions.
How the water rises:
- up to 1 generator - approx speed = 1.75 - 2.0 miles per hour
- 1 to 2 generators - approx speed = 2.25 - 2.5 miles per hour
- 3 to 4 generators - approx speed = 2.75 - 3.0 miles per hour
- 5 to 6 generators - approx speed = 3.25 - 3.5 miles per hour
- 7 to 8 generators - approx speed = 3.5 - 5.0+ miles per hour
How the water falls out:
Take the distance from the dam in miles, and divide by 2 for approx 85% of the water to fall out. For example, we're 15 miles down from the dam. If the dam is putting out 25,000 CFS, in 7-1/2 hours after shut-off, the level will be down to about 3750 CFS.
Bull Shoals Tailwater Graph -- Header Information:
The first thing you see at the top of the Bull Shoals Tail water Graph is this header information, pictured above. The Bull Shoals Lake, which feeds our section of the White River, is divided into "sections" based on depth.
The water from the bottom of the lake to 628.5 feet (above sea level) makes up the Conservation Pool. If the lake fell below this level, we would really be hurting for water! In this condition, water would not be released except under the direst of circumstances.
From 628.5 to 659 feet, the water is defined as the Power Pool. Between these levels, SWPA (Southwestern Power Administration - A division of the US DOE) is in control of the water. They use this water at their discretion for power through the 8 generators at Bull Shoals Dam. Computers in Oklahoma decide when to run the water, and how much. As I understand it, their primary market for selling power is peak demand times, and the electricity can be distributed over a large portion of the US.
From 659 feet to 695 feet, the US ACE (Army Corps of Engineers) is in control of the “flood pool”. They will hold back and / or release water, primarily focusing on flood control needs. For example, if we have heavy spring rains, and the Buffalo River is running high, the Corps will hold back the water as much as possible to prevent flooding in this area.
The Corps operates on a 50 year old mandate to keep the lake at a target level of approximately 659-662, depending on the time of year. It was believed that this target level allows enough margin for flood control above this mark, and adequate power generation potential below it.
While the Corps' primary concern, of course, is flood control, they will work with SWPA to release flood pool water so it is most advantageous to them. Likewise, if the water level was somewhere in the Power Pool, SWPA would not run water that would promote flooding. The Corps and SWPA also work together on smaller water releases in order to keep temperatures and dissolved oxygen to at least minimum acceptable levels.
Bull Shoals Tailwater Graph -- Headwater, Precipitation, & Tailwater Elevation (Click to enlarge)
This next section of the graph shows the headwater (lake level), precipitation, and tail water levels (measured just below the dam) for any given 5 day period. In this snapshot I captured, you can see the lake level slowly dropping, no recordable precipitation, and the swings in the tail water caused by the water releases. You can see the trend for this 5 day period has been to release water later in the afternoon. OBS = Observed
You may also keep in mind that the further you get down the river, the more subtle the rises and falls of the tail water levels are. Basically, the further down the river you are, the less surge you get.
Bull Shoals Tailwater Graph -- Power & Flow (click to enlarge)
This next section of the graph is the most useful, in my opinion. Power generation for Bull Shoals Dam is shown in Megawatt Hours. Maximum Power output from the dam is 391 Megawatt Hours. With 8 generators, this averages out to 48.9 MWH max per generator. (The generators are not truly equal. The first 4 are slightly smaller than newer 4, but since you never know which they're running, it makes the most sense to average them.)
You should also note that the generators are seldom run at 100% max output, but nearly always run in excess of 50% capacity, due to efficiency factors, but when Minimum Flow comes into effect, they have one generator running less than that.
The flow section, as you might imagine, mimics the power generation section. The red line represents a power release, and the yellow line a non-power release. What is a non-power release? When water is run for any other number of reasons, such as a Corps request for example. The generators are not on-line during these releases, as water can be released via the flood gates or slouse pipes instead. Since water is money, this kind of release is not a frequent occurrence.
If you are a frequent caller of the 870-431-5311 Dam generation number - you could be in for a surprise! This recording can tell you that there are no generators running, which may be true, but you can still get a lot of water coming down the river anyway from a non-power release!
Max water release from all 8 generators is 26,400 CFS (cubic ft/second). This averages out to 3300 CFS max for each generator. Take a look at the red line between the 24th and the 25th. As you can see, they turned the water on around noon, and ramped it up to about 24,000 CFS within a couple of hours. Then by midnight they had it nearly shut down.
What does this mean to me?
Often times, as with the sample graphs you see above, a pattern is apparent. (OK, OK, we all know it isn't always this way!) From this particular sample, you can see that power is being generated about mid day. If you're fishing in our vicinity, about 15 miles down from the dam, you can expect the water to begin to rise a little over 4 hours later. If you're in a boat, you may want to be up at Wildcat about an hour or hour and a half earlier than that and fish the rise on down, for example.
Waders who look at this graph would also take note that the water has been rising very quickly, so you would be SURE to get out immediately when you see the slightest change, wouldn't you? :-) (Of course, you ALWAYS do this anyway...)
And, since you see the water's generally shutting off around midnight, you'll know that by 7:30 the next morning, the water will be fairly wade-able in our spot.
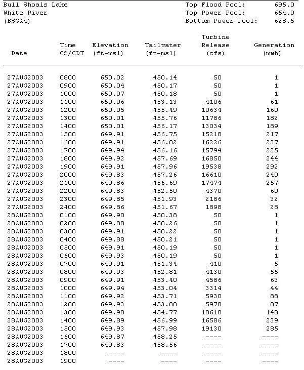
Bull Shoals Tailwater -- Tabular Output (click to enlarge)
Here we have the tabular output of the same information. The difference is that this information is presented hour by hour in a numerical format for a 36 hour period. The elevation column is the same as the information you'd see in the HW (headwater) graph, the TW (tail water) graph, and the flow and power graphs. As you may have noticed, the Turbine Release and Generation always lags a bit behind the tail water and elevation information.
I asked about the time lag for this data. I was told that the data at the dam is stored in a device called a data collection platform (DCP). Every so often, the data is sent via satellite to the Corps computers in Little Rock. At that time, the web site information is updated. It has been much better over recent years, however.
I also asked about the subtle changes, when the same number of generators is running, but the output is fluctuating. I was told while the generators are usually run at a minimum of 50% capacity for the sake of efficiency, the units at Bull Shoals are also used to "regulate" by allowing the output to rise and fall to balance the output with the electrical demand of the system. (What this means is that when you've called the dam all throughout the day, and heard "3 generators" all day long, but you swear the water has risen or fallen substantially.... you're probably right, that's just the normal fluctuation in the process.)
So, remember the math I mentioned earlier? 391 MWH is the max output of the Bull Shoals Dam with all 8 generators. 26,400 CFS is the max water release. 391 / 8 (# of units) = 48.88 MWH (avg) max per generator. 26400 / 8 = 3300 CFS (avg) max per generator.
Therefore: CFS / 3300 = number of generators & MWH / 48.88 = number of generators.
Keeping this math in mind, you can relate the information in the tabular graph to the "number of generators running". For example, look at the last line of complete information. You have 19130 CFS running, generating 285 MWH of electricity. Since we know that 3300 CFS is max for one generator, 19130 / 3300 = 5.8, or obviously you'd round up to 6 generators. You can also take 285 / 48.88 = 5.83 - once again, 6 generators. And, no, it never comes out exactly even. As mentioned earlier, generators are usually running at less than maximum capacity.
At the end of the day, what you really want to know is not how many generators are running, but how much water is coming! Now you can understand the relationship between the three.
Bull Shoals Dam Projections (click to enlarge)
Now for the projections. I just picked a section of this report. Column 14 BSD (Bull Shoals Dam) is the only one we're interested in anyway. Hour 1 starts at midnight, of course. The numbers are represented in MWH. So, for Bull Shoals, it looks like they're going to turn on one generator at about 7:00 AM and throttle it up and down till around 2:00 PM. At this time, they are going to run on 200 / 48.88 = 4.09, which really means 5 gens operating below capacity. At 3:00, 300 / 48.88 = 6.14, or 7 generators, etc.
Now, there's a few things you should know about the forecasts. The two most frequently asked questions are answered by the SWPA website, which I am quoting below:
Q: When are the generation schedules updated?
A: Generation at all projects is subject to requirements from the U.S. Army Corps of Engineers (Corps) and power demand. Tentative generation schedules are posted as follows: Monday through Thursday, the schedule for the following day will be updated at approximately 5 p.m. On Friday at approximately 5 p.m., the schedules for Saturday, Sunday, and Monday will be updated. Please be aware that schedules are subject to change to meet power demand. In addition, they only reflect releases through the hydropower facilities and do not include spillway releases ordered by the Corps.
Q: Why was generation at a particular project different from the schedule?
A: Schedule information is generally based on Southwestern’s best estimate of customers’ power needs for the next day, on anticipated Corps release requirements at each project, and on the availability of other resources. Actual generation is subject to change based on power demand and changes in release requirements. Assuming non-changing weather conditions, another way to estimate project generation would be to look at the previous few days’ generation.
US ACE WATER MANAGEMENT HOME PAGE
RIVERGAGES.COM FOR THE WHITE RIVER BASIN
US ACE LAKE LEVEL AND POOL FORECAST LINKS
These links will take you to the US ACE water management website, where you can view the lake level and pool forecasts, and another linked sister site to give you information on various stream gauges. (This is important because certain stream levels rising will make the Corps shut the water off for a time to avoid flooding downstream.)
Gauges of interest are the Buffalo River Gauge at St. Joe, the Crooked Creek gauge at Yellville, the White River at Newport gauge, the White River at Calico Rock gauge, and the White River at Highway 341 gauge. If you see any or all of these gauges spike from rain (all are between 11 and 40 miles down river from our resort, and will include waters from un-dammed tributaries) then you can probably bet they will throttle back or shut off the water at Bull Shoals Dam. (Just a note on the Rivergages.com site: You must select Little Rock District from the drop down menu, and then select White River Basin to see the relevant info.)
The lake level and pool forecasts will show you the estimated dates that the lakes will get back down to the top of the power pool if it is currently over, which is sometimes indicative of when the patterns of flow may start to change.
US ACE 1998 WATER CONTROL PLAN & NEWPORT GAUGE CONSIDERATIONS
*updated 4/24/2023* There is a temporary deviation to the water control plan above. How long this "temporary" deviation will remain in effect is not known.* This deviation allows the USACE to more aggressively get rid of spring water, reducing the overall risk to people. for more information about this temporary deviation, click here.
So, what ARE the levels on the White River going to do? Sometimes I'm sure it seems like water generation patterns from our dams are completely random...
But, they're not. There are just a lot of factors, often in opposition to one another. Rainfall can't be predicted. Variances are applied for and granted for events on specific days. The farther into the future you try to predict any complex pattern, the more detail you lose; just like in a weather forecast, folks. Which is more accurate -- the 3-day or the 10-day forecast?
But you will be able to make some reasonable generalizations after you read this section... it's really not black magic or voodoo! It will be sort of like making generalizations that it's more likely to be hot in July than in December. Here, we'll talk about the primary decision-making element that affects water releases -- the 1998 Water Control Plan the US ACE uses as a general guideline.
Will understanding this plan enable you to know if the water's going to be at 0 generators at 5:00 AM tomorrow, and turn on to 3 generators at 10:30 AM? Sorry! It sure won't. I'm talking "big picture", here.
On Bull Shoals, as you've already learned, the target lake level is 659-662' above sea level. And you've also learned that when it's above that level, the US ACE is in control. Their job? Get rid of that excess water. And they use the 1998 Water Control Plan to guide them. It's not as simple as "run the water until it gets down to 659'".
There are 3 major factors involved -- the season, the current level of the Newport water gauge, and the combined 4-lake capacity of the flood-control pool, as measured above their target levels.
I call the Newport Gauge the "trump card", because if it wasn't for the considerations based on the current levels of this gauge, the flows of the White River would be much more predictable. Managing river levels to the Newport gauge is done to protect farming interests down river.
So, what is this plan all about? Basically, it dictates different release rules when crops are either more or less likely to be damaged. This is a summary:
- Dec 1 - April 14 -- the Newport gauge is regulated to 21 ft., except if a natural rise exceeding that occurs, then they can regulate to 24 ft.
- April 15 - May 7 -- the Newport gauge is regulated to 14 ft., with the exception of regulating to 21 ft. from April 15 through April 30, or 18 feet from May 1 through May 14 only if the 4-lake system exceeds 50% full. (Click the Lake Forecast at the top to get the current 4-lake system %.)
- May 8 - November 30 -- the Newport gauge is regulated to 12 ft., with the exception of regulating to 14 ft. from May 15 through November 30 if the 4-lake system flood storage exceeds 70% full.
- Special circumstances and requests for variance are also defined.
OK, How about a practical example to make this more meaningful to you?
Example 1:
- It's April 20th, so we're trying to regulate to 14 ft. on the Newport gauge.
- The 4-lake system is below 50% for this example.
- The Bull Shoals Lake level, for whatever reason, has risen to 662' in our example. That's 3 ft. above pool.
- The Newport gauge is currently below 14'.
Result:
All other things being equal, Bull Shoals is going to release as much water as they can until that gauge hits 14', and they get the Bull Shoals Lake level back down to 659'.
So far, so good. Now, let's say it starts raining. Crooked Creek & Buffalo, and all the other feeder creeks above this gauge start raising the water level. Guess what happens then? Bull Shoals shuts off, or throttles back accordingly.
What if we had this exact scenario, but the 4-lake system was above 50% instead of below? Bull Shoals would run to manage to 21' instead of 14', and then throttle back accordingly to try and get the Bull Shoals Lake level down to 659'.
(Don't forget if Bull Shoals is above pool, Norfork probably is, too. Water will have to be dropped in that lake as well, and they'll bounce back and forth with generation between the two lakes to do it.)
This is a rather simplistic scenario, to be sure. But if you take the time to read those 7 pages, and study that chart, it will make it a little more meaningful to you!
What if the 4 lake system is below 0%? (That means all 4 lakes are at their target level or lower -- 0% is in reference to the Flood Control, not that the lakes are empty.) Well, the US ACE has then done their job, and gotten rid of the excess water.
Now control is in the hands of SWPA (Southwest Power Administration, a quasi-governmental agency which is part of the Department of Energy). Unlike the Corps, whose job it was to get rid of that extra water, the job of SWPA is to make money with the water. So, they won't run it just for the sake of running it. They'll run water to generate power at peak demand times, when they can make the most profit.
(Side note: In the past, their operational mandate has created situations of extended periods of "dead-low" water that have caused fish kills and has damaged the river, and why the Minimum Flow Initiative is so important, and was finally implemented in 2009. Now, these extended periods of dead-low water are a thing of the past.)
So what does this mean for generation when SWPA has their finger on the button? It means that they will abide by the same guidelines when they do release water, but they don't have to release water. When they're in control, there's often less generation on weekends than during the week, for example.
All these are just more pieces of a fairly complex puzzle on how the water flows on the White River...
Good Fishin' -- Julie
